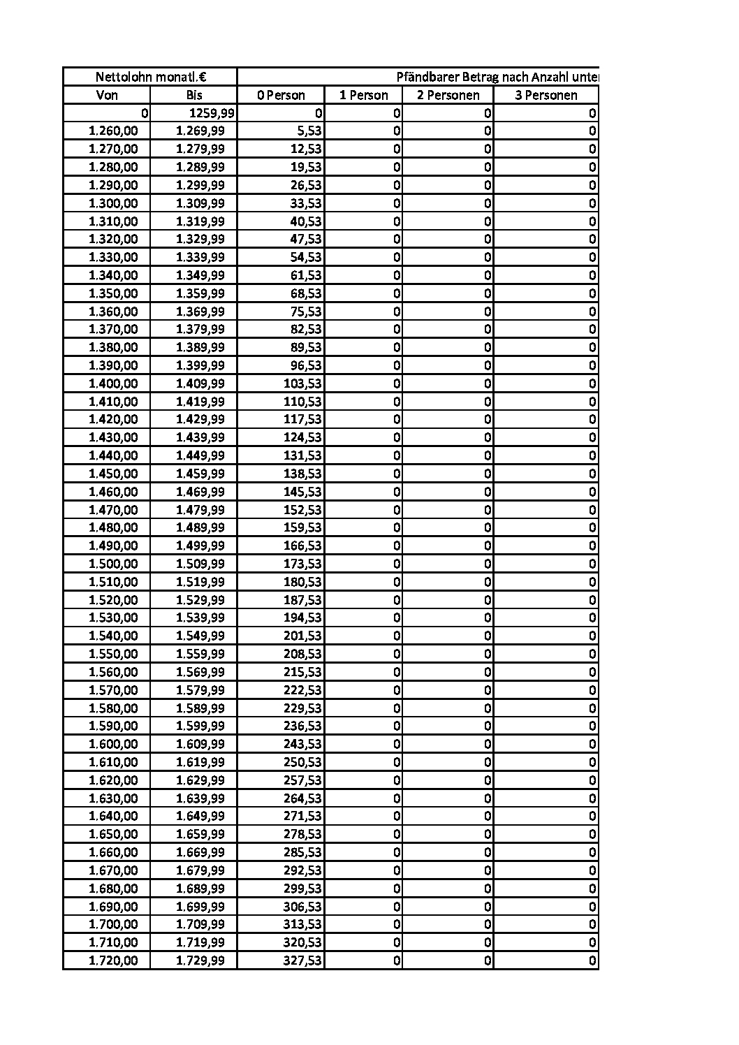
lohnpfändungstabelle 2024 pdf – TEXT_1. TEXT_2.
lohnpfändungstabelle 2024 pdf
Source : phoenix-schuldenfrei.de
Pfändungstabelle 2023 2024 mit Pfändungsfreibeträgen – Pkonto Info
Source : www.pkonto-info.info
Pfändungstabelle Archive Forum Mercatorium
Source : www.forum-mercatorium.org
Pfändungstabelle 2019 2021 §§ 850ff. ZPO Anwaltskanzlei Heckmann
Source : www.heckmann.net
Lohn und Einkommensteuerrechner – Vorteile entdecken
Source : www.stotax.de
Pfändungstabelle 2023 2024 | Pfändungsfreigrenzen ab 1. Juli 2023
Source : schuldnerberatung-schulz.de
Lohnpfändung 2023: Praxisleitfaden für Arbeitgeber, Gläubiger
Source : www.amazon.de
Forum Mercatorium, Das Unternehmerportal e.V. | Cuxhaven
Source : www.facebook.com
Pfändungstabelle 2023 / 2024 (§ 850c ZPO) inkl. Rechner
Source : www.hartziv.org
Lohnpfändung 2023: Buch & eBook von Christine Kalmeier | Haufe Shop
Source : shop.haufe.de
lohnpfändungstabelle 2024 pdf Neue Pfändungstabelle 2023 2024 | Phoenix Schuldnerberatung: TEXT_3. TEXT_4.








